menghitung volume benda pejal dengan integral

 

LANGSUNG SAJA KITA KE DALAM SOALNYA YA

Carilah volume benda pejal dengan persamaan dan batas-batas pada sumbu x dan sumbu y dibawah ini.




Jawaban Soal :

Untuk mendapatkan gambaran benda pejal yang akan dicari volumenya, kita akan plotkan persamaan z=f(x,y) dari soal dengan batas-batas terhadap sumbu x dan sumbu y tersebut ke dalam grafik ruang dimensi tiga. Kemudian kita akan menghitung volume yang terbentuk diantara persamaan z=f(x,y) dan bidang xy dengan batas-batas sumbu x dan sumbu yang diberikan, yaitu daerah merah.




Berikutnya kita akan menghitung volume benda pejal berwarna merah menggunakan integral lipat, dalam hal ini integral lipat dua karena kita akan mengintegralkan terhadap batas-batas di arah sumbu x dan sumbu y. Ingatlah bahwa jika ada batas berupa persamaan maka kita akan mendahulukannya dalam proses integral, dan integral pada lapis terluar baru terhadap batas-batas berupa angka.

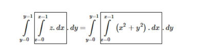
Pertama-tama kita tuliskan bentuk integral berbatas dengan batas-batas kedua sumbu sesuai soal. Dari soal, karena batas sumbu x dan batas sumbu y berupa angka, kita boleh mengintegralkan terhadap sumbu x ataupun sumbu y dahulu.




Pada bagian ini kita akan hitungkan dahulu integral terhadap batas-batas sumbu x.


Setelah kita dapatkan hasilnya, kita masukkan ke bagian kotak dari bentuk integral lipat awal, kemudian kita integralkan terhadap batas-batas sumbu y.




Dari perhitungan menggunakan integral lipat dua, kita mendapatkan volume benda pejal sesuai batas-batas dalam soal adalah sebesar 2/3 satuan volume
.


sumber :http://kalkulus-itu-indah.blogspot.com/2015/12/0054-volume-benda-pejal-menggunakan.html

Komentar

Postingan populer dari blog ini

NILAI MUTLAK

nilai maksimum dan minimum suatu fungsi

review movie "NANTI KITA CERITA TENTANG HARI INI"